Courses
Courses for Kids
Free study material
Offline Centres
More
Store Icon
Store
seo-qna
SearchIcon
banner

Borax structure contains?
A. Two $B{{O}_{4}}$ groups and two $B{{O}_{3}}$ groups
B. Four$B{{O}_{4}}$ groups only
C. Four $B{{O}_{3}}$ groups only
D. Three $B{{O}_{4}}$ groups and one $B{{O}_{3}}$ group

Answer
VerifiedVerified
516.9k+ views
Hint: Borax is a compound of boron it has a structure having tetra nuclear units. Borax is a salt that contains water of crystallization. It is an important compound of boron. It gives a famous borax bead test on subjection with heat to form transparent beads like glass. They consist of sodium Meta borate and boric anhydride.

Complete answer:
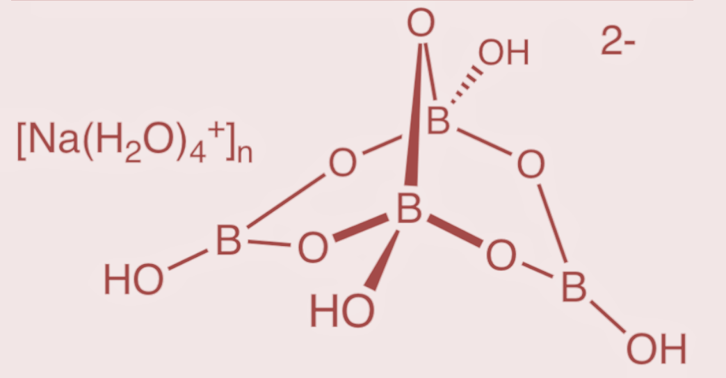
Borax is an important compound of boron. It has a formula $N{{a}_{2}}[{{B}_{4}}{{O}_{5}}{{(OH)}_{4}}].8{{H}_{2}}O$ and thus also called as sodium tetraborate. Its structure consist of tetra nuclear units of the formula${{\left[ {{B}_{4}}{{O}_{5}}{{(OH)}_{4}} \right]}^{2-}}$
The structure of borax consists of an arrangement with 4 boron atoms such that 2 boron atoms form 3 – coordinate bonds, while the other 2 boron atoms form 4 – coordinate bonds. Thus the structure gives rise to the formation of two groups of boron and oxygen arrangement. The arrangement where 2 boron atoms are in the form of tetrahedral atoms having two $B{{O}_{4}}$groups, and the other arrangement where the other 2 boron atoms have a planar arrangement with 3 oxygen atoms as $B{{O}_{3}}$ groups. The structure of borax is as follows:
seo images

Hence, the borax structure contains two $B{{O}_{4}}$ groups and two $B{{O}_{3}}$groups.

So, option A is correct.

Note:
Borax is one of the most useful compounds of boron. It is used in preparing antiseptic medicinal soaps, for water softening, manufacturing borosilicate glass, soldering etc. It gives a known borax bead test that when subjected to heating it forms glass like beads that are important and useful in qualitative analysis of radicals.