
How many cyclic isomers does ${{\text{C}}_{\text{5}}}{{\text{H}}_{{\text{10}}}}$ have?
Answer
558.6k+ views
Hint: We are given a compound having molecular formula ${{\text{C}}_{\text{5}}}{{\text{H}}_{{\text{10}}}}$. To solve this we must know that the compounds having the same molecular formula but different structural formula are said to be isomers of each other and the phenomenon is known as isomerism.
Complete answer:
We know that the compounds having the same molecular formula but different structural formulas are said to be isomers of each other and the phenomenon is known as isomerism.
We are given a compound having molecular formula ${{\text{C}}_{\text{5}}}{{\text{H}}_{{\text{10}}}}$.
Cyclic isomers are the compounds that have the same molecular formula but different cyclic or ring like structures.
We can draw structural isomers and geometrical isomers. In structural isomerism, the compounds have the same molecular formula but different structural formulas.
In geometrical isomerism, the compounds have the same molecular formula and structural formula but different arrangement of atoms or groups.
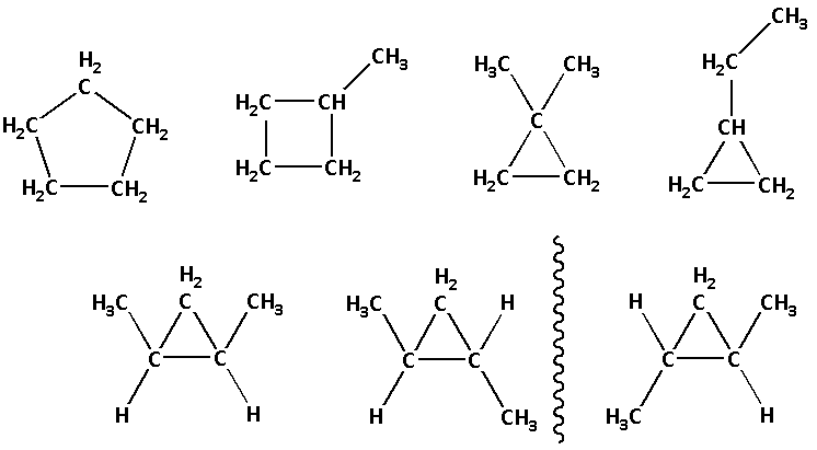
We can form three membered, four membered and five membered rings.
In the three membered ring we can attach the two methyl groups on one carbon side by side or join them as ethyl groups or we can attach two methyl groups on separate carbons.
Thus, the cyclic isomers of ${{\text{C}}_{\text{5}}}{{\text{H}}_{{\text{10}}}}$ are as follows:
The two isomers are mirror images of each other and are known as enantiomers.
Thus, there are seven cyclic isomers of ${{\text{C}}_{\text{5}}}{{\text{H}}_{{\text{10}}}}$.
Note:The enantiomers in which the same groups are present on the same side are known as cis isomers and when the same groups are present on opposite side it is said to be trans isomer. Trans isomer is more stable than cis isomer.
Complete answer:
We know that the compounds having the same molecular formula but different structural formulas are said to be isomers of each other and the phenomenon is known as isomerism.
We are given a compound having molecular formula ${{\text{C}}_{\text{5}}}{{\text{H}}_{{\text{10}}}}$.
Cyclic isomers are the compounds that have the same molecular formula but different cyclic or ring like structures.
We can draw structural isomers and geometrical isomers. In structural isomerism, the compounds have the same molecular formula but different structural formulas.
In geometrical isomerism, the compounds have the same molecular formula and structural formula but different arrangement of atoms or groups.
We can form three membered, four membered and five membered rings.
In the three membered ring we can attach the two methyl groups on one carbon side by side or join them as ethyl groups or we can attach two methyl groups on separate carbons.
Thus, the cyclic isomers of ${{\text{C}}_{\text{5}}}{{\text{H}}_{{\text{10}}}}$ are as follows:
The two isomers are mirror images of each other and are known as enantiomers.
Thus, there are seven cyclic isomers of ${{\text{C}}_{\text{5}}}{{\text{H}}_{{\text{10}}}}$.
Note:The enantiomers in which the same groups are present on the same side are known as cis isomers and when the same groups are present on opposite side it is said to be trans isomer. Trans isomer is more stable than cis isomer.
Recently Updated Pages
Master Class 11 Computer Science: Engaging Questions & Answers for Success

Master Class 11 Business Studies: Engaging Questions & Answers for Success

Master Class 11 Economics: Engaging Questions & Answers for Success

Master Class 11 English: Engaging Questions & Answers for Success

Master Class 11 Maths: Engaging Questions & Answers for Success

Master Class 11 Biology: Engaging Questions & Answers for Success

Trending doubts
One Metric ton is equal to kg A 10000 B 1000 C 100 class 11 physics CBSE

There are 720 permutations of the digits 1 2 3 4 5 class 11 maths CBSE

Discuss the various forms of bacteria class 11 biology CBSE

Draw a diagram of a plant cell and label at least eight class 11 biology CBSE

State the laws of reflection of light

Explain zero factorial class 11 maths CBSE

