
What does phenol form by reaction with $HCN$ and $HCl$.
Answer
494.1k+ views
Hint: Phenol is an aromatic compound in which electrons are delocalized. When phenol is reacted with the mixture of $HCN$and $HCl$ it forms aldimine as the intermediate. The catalyst we use for this reaction is $ZnC{l_2}$. Thus we do hydrolysis of the intermediate product to get the final product.
Complete answer:
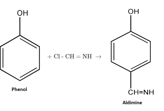
Phenol is an aromatic compound which contains hydroxyl groups. The mixture of $HCN$and $HCl$is reacted with phenol in the presence of a catalyst known as zinc chloride. Further an intermediate product is formed which on hydrolysis yields us $p - $hydroxybenzaldehyde. The whole reaction will take place in the following steps:
$1.$In the first stage of reaction, the mixture of hydrochloric acid and hydrogen cyanide is reacted to form a complex in the presence of the zinc chloride.
$HCl{\text{ + HCN }}\xrightarrow{{ZnC{l_2}}}{\text{ Cl - CH = NH}}$
The formed complex will further react with the phenol and form an intermediate product.
$2.$ Now the given complex will react with phenol and produce an intermediate product known as aldimine. Then the aldimine so formed will undergo hydrolysis.
$3.$Now the formed intermediate, Aldimine, is further undergoing hydrolysis with ${H_3}{O^ + }$. On hydrolysis of the above intermediate we get $p - $hydroxybenzaldehyde as our main product.
The product so formed is $p - $hydroxybenzaldehyde. The reaction is also known as the Gattermann Reaction used for synthesis of aromatic aldehydes.
Note:
The intermediate formed during the reaction is a result of zinc chloride. Here zinc chloride acts as a catalyst. We can use others like Aluminium Chloride in place of Zinc Chloride. On hydrolysis there is addition of oxygen and an amine group if formed as a by-product.
Complete answer:
Phenol is an aromatic compound which contains hydroxyl groups. The mixture of $HCN$and $HCl$is reacted with phenol in the presence of a catalyst known as zinc chloride. Further an intermediate product is formed which on hydrolysis yields us $p - $hydroxybenzaldehyde. The whole reaction will take place in the following steps:
$1.$In the first stage of reaction, the mixture of hydrochloric acid and hydrogen cyanide is reacted to form a complex in the presence of the zinc chloride.
$HCl{\text{ + HCN }}\xrightarrow{{ZnC{l_2}}}{\text{ Cl - CH = NH}}$
The formed complex will further react with the phenol and form an intermediate product.
$2.$ Now the given complex will react with phenol and produce an intermediate product known as aldimine. Then the aldimine so formed will undergo hydrolysis.
$3.$Now the formed intermediate, Aldimine, is further undergoing hydrolysis with ${H_3}{O^ + }$. On hydrolysis of the above intermediate we get $p - $hydroxybenzaldehyde as our main product.
The product so formed is $p - $hydroxybenzaldehyde. The reaction is also known as the Gattermann Reaction used for synthesis of aromatic aldehydes.
Note:
The intermediate formed during the reaction is a result of zinc chloride. Here zinc chloride acts as a catalyst. We can use others like Aluminium Chloride in place of Zinc Chloride. On hydrolysis there is addition of oxygen and an amine group if formed as a by-product.
Recently Updated Pages
Why are manures considered better than fertilizers class 11 biology CBSE

Find the coordinates of the midpoint of the line segment class 11 maths CBSE

Distinguish between static friction limiting friction class 11 physics CBSE

The Chairman of the constituent Assembly was A Jawaharlal class 11 social science CBSE

The first National Commission on Labour NCL submitted class 11 social science CBSE

Number of all subshell of n + l 7 is A 4 B 5 C 6 D class 11 chemistry CBSE

Trending doubts
Differentiate between an exothermic and an endothermic class 11 chemistry CBSE

10 examples of friction in our daily life

One Metric ton is equal to kg A 10000 B 1000 C 100 class 11 physics CBSE

Difference Between Prokaryotic Cells and Eukaryotic Cells

1 Quintal is equal to a 110 kg b 10 kg c 100kg d 1000 class 11 physics CBSE

State the laws of reflection of light

