
Which one is the basic amino acid
(a) Lysine
(b) Leucine
(c) Aspartic acid
(d) Methionine
Answer
570.6k+ views
Hint: In an amino acid, four groups are attached to a single carbon atom among which the three are the same. The nature of the fourth group determines the chemical nature of amino acid. The basic amino acid among the following is an important component of muscle protein.
Complete answer:
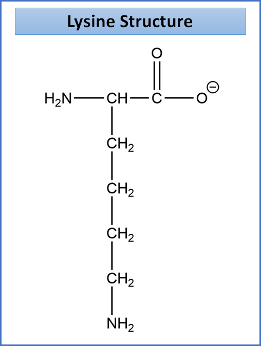
Amino acids serve as monomers of proteins and are composed of an amino group, a carboxyl group, a hydrogen group, and a distinctive side chain, all bonded to the same carbon atom or the ɑ-carbon. The various amino acids differ with respect to the side chain, represented by an R group, attached to the ɑ-carbon. The basic amino acid belongs to the group of amino acids with a charged polar side chain. They have a positively charged R group. E.g Lysine. It has a lysyl side chain ${ (CH }_{ 2 })_{ 4 }{ NH }_{ 2 }$ that also includes an amino group.
- Amino acids are classified into three groups based on the nature of R group- amino acids with non- polar side chain, amino acids with uncharged polar chain, and amino acids with a charged polar side chain.
- Negatively charged amino acids bear negatively charged groups at physiological pH.E.g Aspartic acid.
- Leucine and Methionine are the amino acids with nonpolar side chains. Leucine is an essential amino acid with a branched side chain. It is an activator of muscle protein synthesis.
- Methionine is also an essential amino acid and contains a sulfur atom in its side chain. It is a component of many antioxidants in the body and proteins of the immune system.
So, the correct answer is “(a) Lysine.’
Note:
- Essential amino acids are the group of amino acids whose requirement needs to be fulfilled by an external source i.e through food or supplement. They cannot be synthesized in our body, unlike the non-essential amino acids.
- Lysine, methionine, and leucine are essential amino acids while aspartic acid is a non-essential amino acid.
Complete answer:
Amino acids serve as monomers of proteins and are composed of an amino group, a carboxyl group, a hydrogen group, and a distinctive side chain, all bonded to the same carbon atom or the ɑ-carbon. The various amino acids differ with respect to the side chain, represented by an R group, attached to the ɑ-carbon. The basic amino acid belongs to the group of amino acids with a charged polar side chain. They have a positively charged R group. E.g Lysine. It has a lysyl side chain ${ (CH }_{ 2 })_{ 4 }{ NH }_{ 2 }$ that also includes an amino group.
- Amino acids are classified into three groups based on the nature of R group- amino acids with non- polar side chain, amino acids with uncharged polar chain, and amino acids with a charged polar side chain.
- Negatively charged amino acids bear negatively charged groups at physiological pH.E.g Aspartic acid.
- Leucine and Methionine are the amino acids with nonpolar side chains. Leucine is an essential amino acid with a branched side chain. It is an activator of muscle protein synthesis.
- Methionine is also an essential amino acid and contains a sulfur atom in its side chain. It is a component of many antioxidants in the body and proteins of the immune system.
So, the correct answer is “(a) Lysine.’
Note:
- Essential amino acids are the group of amino acids whose requirement needs to be fulfilled by an external source i.e through food or supplement. They cannot be synthesized in our body, unlike the non-essential amino acids.
- Lysine, methionine, and leucine are essential amino acids while aspartic acid is a non-essential amino acid.
Recently Updated Pages
Master Class 12 Business Studies: Engaging Questions & Answers for Success

Master Class 12 Economics: Engaging Questions & Answers for Success

Master Class 12 English: Engaging Questions & Answers for Success

Master Class 12 Maths: Engaging Questions & Answers for Success

Master Class 12 Social Science: Engaging Questions & Answers for Success

Master Class 12 Chemistry: Engaging Questions & Answers for Success

Trending doubts
What is meant by exothermic and endothermic reactions class 11 chemistry CBSE

Which animal has three hearts class 11 biology CBSE

10 examples of friction in our daily life

One Metric ton is equal to kg A 10000 B 1000 C 100 class 11 physics CBSE

1 Quintal is equal to a 110 kg b 10 kg c 100kg d 1000 class 11 physics CBSE

Difference Between Prokaryotic Cells and Eukaryotic Cells

