
How do write \[54\] as a product of prime factors?
Answer
552.6k+ views
Hint: We need to know the first ten prime numbers in the natural numbers. This question describes the operation of multiplication/ division. The final answer should involve only prime numbers. The definition of prime numbers is a number that is divided only by \[1\] and itself, otherwise, it cannot be divided by any numbers.
Complete step by step solution:
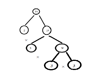
In this question, we have to write \[54\] as a product of prime number factors.First, we should know about prime numbers. The prime numbers are only divided by \[1\] and itself.Otherwise, it cannot be divided by any numbers. So, the prime numbers are,
\[2,3,5,7,11,13,....\]
To solve the given question we would divide the \[54\] as follows,
From the given prime numbers we can use \[2\]. So, when \[2\] is multiplied with \[27\] it will be\[54\]. As a next step, we didn’t simplify \[2\]. So, we try to simplify \[27\]. \[27\] can be divided into \[3\] and \[9\]. So, we get
From the above step we cannot simplify \[3\], but we can simplify \[9\]. So, \[9\] can be simplified as \[3 \times 3\]. Here \[3\] is a prime number so we can go to the next step.
So, the final answer is, the product of prime factor for \[54\] is shown below,
\[54 = 2 \times 3 \times 3 \times 3\]
(or)
\[54 = 2 \times {3^3}\]
Note: In this type of question we would use the operation of addition/ subtraction/ multiplication/ division. We need to know the first ten prime numbers. Note that \[1\] is not a prime number and \[1\] is not a non-prime number, it is an exception. All the factors should be a prime number, we don’t use a non-prime number as a factor. Also, we don’t use this \[0\] as a factor in this type of question.
Complete step by step solution:
In this question, we have to write \[54\] as a product of prime number factors.First, we should know about prime numbers. The prime numbers are only divided by \[1\] and itself.Otherwise, it cannot be divided by any numbers. So, the prime numbers are,
\[2,3,5,7,11,13,....\]
To solve the given question we would divide the \[54\] as follows,
From the given prime numbers we can use \[2\]. So, when \[2\] is multiplied with \[27\] it will be\[54\]. As a next step, we didn’t simplify \[2\]. So, we try to simplify \[27\]. \[27\] can be divided into \[3\] and \[9\]. So, we get
From the above step we cannot simplify \[3\], but we can simplify \[9\]. So, \[9\] can be simplified as \[3 \times 3\]. Here \[3\] is a prime number so we can go to the next step.
So, the final answer is, the product of prime factor for \[54\] is shown below,
\[54 = 2 \times 3 \times 3 \times 3\]
(or)
\[54 = 2 \times {3^3}\]
Note: In this type of question we would use the operation of addition/ subtraction/ multiplication/ division. We need to know the first ten prime numbers. Note that \[1\] is not a prime number and \[1\] is not a non-prime number, it is an exception. All the factors should be a prime number, we don’t use a non-prime number as a factor. Also, we don’t use this \[0\] as a factor in this type of question.
Recently Updated Pages
Master Class 11 Computer Science: Engaging Questions & Answers for Success

Master Class 11 Business Studies: Engaging Questions & Answers for Success

Master Class 11 Economics: Engaging Questions & Answers for Success

Master Class 11 English: Engaging Questions & Answers for Success

Master Class 11 Maths: Engaging Questions & Answers for Success

Master Class 11 Biology: Engaging Questions & Answers for Success

Trending doubts
One Metric ton is equal to kg A 10000 B 1000 C 100 class 11 physics CBSE

There are 720 permutations of the digits 1 2 3 4 5 class 11 maths CBSE

Discuss the various forms of bacteria class 11 biology CBSE

Draw a diagram of a plant cell and label at least eight class 11 biology CBSE

State the laws of reflection of light

Explain zero factorial class 11 maths CBSE

