
Which of the following polymers is used in paints?
(a) Gutta percha
(b) Melamine
(c) Buna-S
(d) Novolac
Answer
216.3k+ views
Hint: Polymers are macromolecules. The polymer that is used in paints is prepared through condensation polymerisation between phenol and methanal; and it is an amorphous thermoplastic.
Complete step by step answer:
Before diving into the question, we need to understand polymers. Polymers are large molecules that are composed of smaller repeating units called monomers that are chemically linked to each other. They can be single chained, they can also be branched or they can be cross-linked. Generally in synthetic polymers, the links in the chain are the same as that of its neighbours while that is not the case in many natural polymers such as proteins.
Gutta-percha is a polymer of isoprene (trans-1, 4-polyisoprene). It is non-conductive in nature and is rubber like elastomer. It is also naturally inert. Its chemical structure is given below:

Melamine is not a polymer but a heterocyclic organic compound which is a colourless crystalline solid. Its chemical structure is given below:

Melamine is used as a starting material for the manufacture of melamine-formaldehyde polymer known as melmac through condensation polymerization between melamine and formaldehyde. Many non-breakable plastic crockery, cups and plates are made of melmac.
Buna-S is prepared by the addition polymerization of 1,3-butadiene and styrene. The reaction is given below:

Buna-S has many applications, for example it is used in rubber cutting boards, sealing agents in building application etc.
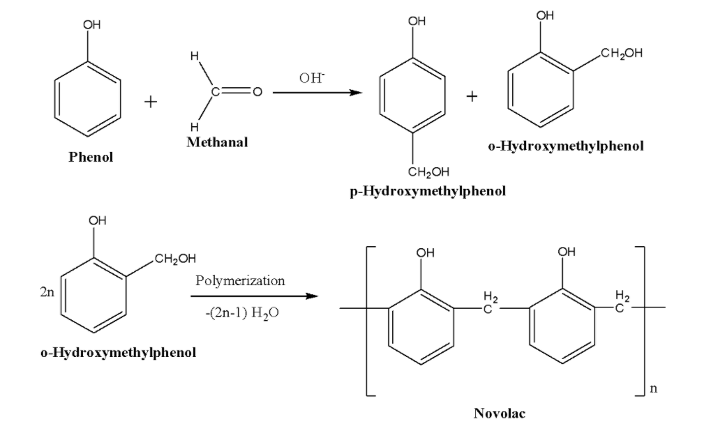
Novolac is prepared by condensation of phenol with methanal using an acid or a base as a catalyst. The reaction gives the products: o-Hydroxymethylphenol and p-Hydroxymethylphenol. These derivatives further react with phenol to form a linear polymer novolac. Novolac is widely used in paints. The reaction is given below:

Hence the correct answer is (d) Novolac.
Note:
The chemical properties of the members of a homologous series similar though the first member may vary considerably from the rest of the members. The successive members of a homologous series differ by a \[C{{H}_{2}}\] group or by 14 mass units.
Complete step by step answer:
Before diving into the question, we need to understand polymers. Polymers are large molecules that are composed of smaller repeating units called monomers that are chemically linked to each other. They can be single chained, they can also be branched or they can be cross-linked. Generally in synthetic polymers, the links in the chain are the same as that of its neighbours while that is not the case in many natural polymers such as proteins.
Gutta-percha is a polymer of isoprene (trans-1, 4-polyisoprene). It is non-conductive in nature and is rubber like elastomer. It is also naturally inert. Its chemical structure is given below:

Melamine is not a polymer but a heterocyclic organic compound which is a colourless crystalline solid. Its chemical structure is given below:

Melamine is used as a starting material for the manufacture of melamine-formaldehyde polymer known as melmac through condensation polymerization between melamine and formaldehyde. Many non-breakable plastic crockery, cups and plates are made of melmac.
Buna-S is prepared by the addition polymerization of 1,3-butadiene and styrene. The reaction is given below:

Buna-S has many applications, for example it is used in rubber cutting boards, sealing agents in building application etc.
Novolac is prepared by condensation of phenol with methanal using an acid or a base as a catalyst. The reaction gives the products: o-Hydroxymethylphenol and p-Hydroxymethylphenol. These derivatives further react with phenol to form a linear polymer novolac. Novolac is widely used in paints. The reaction is given below:

Hence the correct answer is (d) Novolac.
Note:
The chemical properties of the members of a homologous series similar though the first member may vary considerably from the rest of the members. The successive members of a homologous series differ by a \[C{{H}_{2}}\] group or by 14 mass units.
Recently Updated Pages
JEE Atomic Structure and Chemical Bonding important Concepts and Tips

JEE Amino Acids and Peptides Important Concepts and Tips for Exam Preparation

Electricity and Magnetism Explained: Key Concepts & Applications

Chemical Properties of Hydrogen - Important Concepts for JEE Exam Preparation

JEE Energetics Important Concepts and Tips for Exam Preparation

JEE Isolation, Preparation and Properties of Non-metals Important Concepts and Tips for Exam Preparation

Trending doubts
JEE Main 2026: Application Form Open, Exam Dates, Syllabus, Eligibility & Question Papers

JEE Main Correction Window 2026 Session 1 Dates Announced - Edit Form Details, Dates and Link

Derivation of Equation of Trajectory Explained for Students

Hybridisation in Chemistry – Concept, Types & Applications

Understanding the Angle of Deviation in a Prism

Understanding Collisions: Types and Examples for Students

Other Pages
NCERT Solutions For Class 12 Chemistry Chapter 1 Solutions - 2025-26

NCERT Solutions for Class 12 Chemistry Chapter Chapter 7 Alcohol Phenol and Ether

NCERT Solutions ForClass 12 Chemistry Chapter Chapter 8 Aldehydes Ketones And Carboxylic Acids

JEE Advanced Marks vs Ranks 2025: Understanding Category-wise Qualifying Marks and Previous Year Cut-offs

Haloalkanes and Haloarenes Class 12 Chemistry Chapter 6 CBSE Notes - 2025-26

Solutions Class 12 Chemistry Chapter 1 CBSE Notes - 2025-26

