
1-propanol and 2-propanol are………..isomers.
A) Functional
B) Position
C) Chain
D) Stereo
Answer
558.9k+ views
Hint: The function group present in 1-propanol and 2- propanol is –OH, hydroxyl group.
- The numbers that are given as the prefix prior to the alkyl chain is the position of the functional or C-C multiple bonds etc.
Complete Solution :
- Here in the question two isomers of propanol are given and as there are many classifications of isomers, we have specifically notified, to which classification does these two structures belong to.
- First let’s have a basic idea of isomers and move on to the solution of this question.
- So isomers are those molecules or polyatomic ions having the same molecular formula but they are arranged in different fashion in space. Depending on the difference in the arrangement, the isomers are classified into many.
- So let’s solve this problem with basic ideas that as 1-propanol and 2-propanol are isomers, they both will have the same molecular formulae, which is ${{C}_{3}}{{H}_{8}}O$.
- Then we have to trace out the structure of these isomers, to find to which classification it belongs.
The structure of the two isomers given are:
1-Propanol
Here the functional group –OH is attached to the ${{C}_{1}}$ Carbon of the propanol chain,
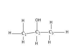
2-propanol
In this structure the functional group –OH is attached to the ${{C}_{2}}$ carbon of the propanol chain,
- So from the structure we can say that in the two isomers the functional groups are the same, but the difference comes in the attachment of the functional group. There is a difference in the position of carbon to which the –OH group is attached too.
So, the correct answer is “Option B”.
Note: Functional isomer is the molecule with same molecular formulae, but difference in the functional group. For example like alcohol and ether.
- Chain isomer-It is an isomer with the same molecular formula but difference in the carbon skeleton or carbon chain of the compound. Example like n-propanol and isopropanol
- Stereoisomer-in stereo isomers difference is there in the spatial arrangement of the atoms.
- So clearly we should know the classifications of the isomers to solve such types of formulae.
- For constitutional isomers i.e. structural isomers it’s always better to draw the structure to avoid confusion.
- The numbers that are given as the prefix prior to the alkyl chain is the position of the functional or C-C multiple bonds etc.
Complete Solution :
- Here in the question two isomers of propanol are given and as there are many classifications of isomers, we have specifically notified, to which classification does these two structures belong to.
- First let’s have a basic idea of isomers and move on to the solution of this question.
- So isomers are those molecules or polyatomic ions having the same molecular formula but they are arranged in different fashion in space. Depending on the difference in the arrangement, the isomers are classified into many.
- So let’s solve this problem with basic ideas that as 1-propanol and 2-propanol are isomers, they both will have the same molecular formulae, which is ${{C}_{3}}{{H}_{8}}O$.
- Then we have to trace out the structure of these isomers, to find to which classification it belongs.
The structure of the two isomers given are:
1-Propanol
Here the functional group –OH is attached to the ${{C}_{1}}$ Carbon of the propanol chain,
2-propanol
In this structure the functional group –OH is attached to the ${{C}_{2}}$ carbon of the propanol chain,
- So from the structure we can say that in the two isomers the functional groups are the same, but the difference comes in the attachment of the functional group. There is a difference in the position of carbon to which the –OH group is attached too.
So, the correct answer is “Option B”.
Note: Functional isomer is the molecule with same molecular formulae, but difference in the functional group. For example like alcohol and ether.
- Chain isomer-It is an isomer with the same molecular formula but difference in the carbon skeleton or carbon chain of the compound. Example like n-propanol and isopropanol
- Stereoisomer-in stereo isomers difference is there in the spatial arrangement of the atoms.
- So clearly we should know the classifications of the isomers to solve such types of formulae.
- For constitutional isomers i.e. structural isomers it’s always better to draw the structure to avoid confusion.
Recently Updated Pages
The number of solutions in x in 02pi for which sqrt class 12 maths CBSE

Write any two methods of preparation of phenol Give class 12 chemistry CBSE

Differentiate between action potential and resting class 12 biology CBSE

Two plane mirrors arranged at right angles to each class 12 physics CBSE

Which of the following molecules is are chiral A I class 12 chemistry CBSE

Name different types of neurons and give one function class 12 biology CBSE

Trending doubts
Which are the Top 10 Largest Countries of the World?

What are the major means of transport Explain each class 12 social science CBSE

Draw a labelled sketch of the human eye class 12 physics CBSE

Differentiate between insitu conservation and exsitu class 12 biology CBSE

The computer jargonwwww stands for Aworld wide web class 12 physics CBSE

State the principle of an ac generator and explain class 12 physics CBSE

