
Chlorination of toluene in presence of light and heat followed by treatment with aqueous $\text{NaOH}$ gives:
A. o-cresol
B. p-cresol
C. Mixture of o-cresol and p-cresol
D. Benzoic acid
Answer
582.3k+ views
Hint: It is a two-step conversion question, chlorination is free-radical mechanism of adding chlorine radicals to the methyl group of toluene and then, addition of aqueous $\text{NaOH}$ is like hydrolysis of the chlorine atoms attached to the carbon atom. The conversion is followed as${{\text{C}}_{6}}{{\text{H}}_{5}}\text{C}{{\text{H}}_{3}}\xrightarrow{\text{C}{{\text{l}}_{2}}/\text{hv}}\text{A}\xrightarrow{\text{aq}\text{. NaOH}}\text{B}$.
Complete step by step answer:
Let us do the conversion of the question,
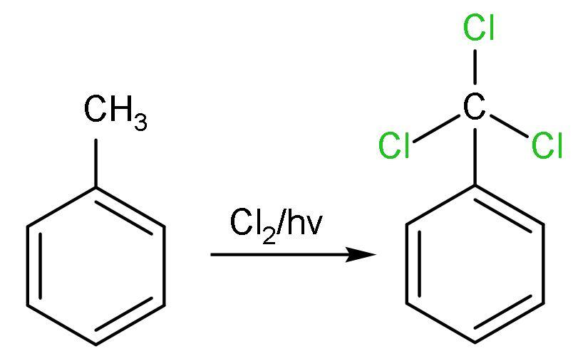
A. Chlorination: In this, light and heat initiates the substitution process by breaking the chlorine molecule $\left( \text{C}{{\text{l}}_{2}} \right)$ into chlorine radicals $\left( \text{C}{{\text{l}}^{\bullet }} \right)$, which further breaks the alkane into radicals and proceeds the reaction forward. This reaction is shown by aliphatic hydrocarbon not by aromatic hydrocarbon. Here, aliphatic is the methyl group attached to benzene of toluene. The reaction replaces all the hydrogen atoms of methyl group $\left( -\text{C}{{\text{H}}_{3}} \right)$ by chlorine atoms $\left( -\text{CC}{{\text{l}}_{3}} \right)$. The reaction is
B. Hydrolysis: Hydrolysis is addition of water molecules. The chlorine atoms of $\left( -\text{CC}{{\text{l}}_{3}} \right)$ is replaced by the $\left( -\text{OH} \right)$ groups. All the three chlorine atoms are removed and $\left( -\text{OH} \right)$ group is added. $\left[ -\text{C}{{\left( \text{OH} \right)}_{3}} \right]$ has three $\left( -\text{OH} \right)$ groups, which is very unstable. It is unstable because of the steric hindrance and mainly due to interaction between $\left( -\text{OH} \right)$ groups which lessens the bond angle and repulsions occur. So, the $\left( -\text{OH} \right)$ groups are removed by releasing water and forming carbonyl groups. The reaction is
The compound formed will be Benzoic acid. So, the correct answer is “Option D”.
Note: The chlorination of aromatic compounds is done using the reagent and Lewis acid $\left( \text{FeC}{{\text{l}}_{3}} \right)$. The reaction is electrophilic substitution reaction. The compound formed chloro benzene $\left( {{\text{C}}_{6}}{{\text{H}}_{5}}\text{Cl} \right)$. The reaction is
Complete step by step answer:
Let us do the conversion of the question,
A. Chlorination: In this, light and heat initiates the substitution process by breaking the chlorine molecule $\left( \text{C}{{\text{l}}_{2}} \right)$ into chlorine radicals $\left( \text{C}{{\text{l}}^{\bullet }} \right)$, which further breaks the alkane into radicals and proceeds the reaction forward. This reaction is shown by aliphatic hydrocarbon not by aromatic hydrocarbon. Here, aliphatic is the methyl group attached to benzene of toluene. The reaction replaces all the hydrogen atoms of methyl group $\left( -\text{C}{{\text{H}}_{3}} \right)$ by chlorine atoms $\left( -\text{CC}{{\text{l}}_{3}} \right)$. The reaction is
B. Hydrolysis: Hydrolysis is addition of water molecules. The chlorine atoms of $\left( -\text{CC}{{\text{l}}_{3}} \right)$ is replaced by the $\left( -\text{OH} \right)$ groups. All the three chlorine atoms are removed and $\left( -\text{OH} \right)$ group is added. $\left[ -\text{C}{{\left( \text{OH} \right)}_{3}} \right]$ has three $\left( -\text{OH} \right)$ groups, which is very unstable. It is unstable because of the steric hindrance and mainly due to interaction between $\left( -\text{OH} \right)$ groups which lessens the bond angle and repulsions occur. So, the $\left( -\text{OH} \right)$ groups are removed by releasing water and forming carbonyl groups. The reaction is
The compound formed will be Benzoic acid. So, the correct answer is “Option D”.
Note: The chlorination of aromatic compounds is done using the reagent and Lewis acid $\left( \text{FeC}{{\text{l}}_{3}} \right)$. The reaction is electrophilic substitution reaction. The compound formed chloro benzene $\left( {{\text{C}}_{6}}{{\text{H}}_{5}}\text{Cl} \right)$. The reaction is
Recently Updated Pages
The number of solutions in x in 02pi for which sqrt class 12 maths CBSE

Write any two methods of preparation of phenol Give class 12 chemistry CBSE

Differentiate between action potential and resting class 12 biology CBSE

Two plane mirrors arranged at right angles to each class 12 physics CBSE

Which of the following molecules is are chiral A I class 12 chemistry CBSE

Name different types of neurons and give one function class 12 biology CBSE

Trending doubts
Which are the Top 10 Largest Countries of the World?

What are the major means of transport Explain each class 12 social science CBSE

Draw a labelled sketch of the human eye class 12 physics CBSE

Differentiate between insitu conservation and exsitu class 12 biology CBSE

The computer jargonwwww stands for Aworld wide web class 12 physics CBSE

State the principle of an ac generator and explain class 12 physics CBSE

