
Conversion of glucose to glucose-6-phosphate, the first irreversible reaction of glycolysis, is catalyzed by?
(A)- Aldolase
(B)- Hexokinase
(C)- Enolase
(D)- Phosphofructokinase
Answer
566.4k+ views
Hint: Glucose is a compound in which there are 6 carbon atoms and all the carbon atoms have a functional group and in glucose-6-phosphate, the functional group of the carbon atom is replaced with the phosphate group.
Complete step by step solution:
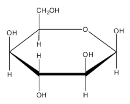
Glucose is a compound in which there are 6 carbon atoms and the terminal carbon atom has an aldehyde functional group and the rest all carbon atoms have an alcohol group and there is an oxygen atom present between the rings. The structure is given below:
In glucose-6-phosphate, the 6th carbon atom has an alcohol group and the hydrogen of this group is replaced with a phosphate group. The structure is given below:
Glucose is present in our body and this is converted into glucose-6-phosphate by two major metabolic pathways: glycolysis and the pentose phosphate pathway.
So by the glycolysis process, in the cell, the hydroxyl group at the 6th position of the glucose is converted into phosphate group by phosphorylation. This reaction can only occur in the presence of a catalyst, so this reaction is catalyzed by the enzyme Hexokinase. In each conversion, one ATP is used. The conversion is given below:
The difference between glucose and glucose-6-phosphate is that glucose can pass through the cell membrane but glucose-6-phosphate cannot pass through the cell membrane.
Therefore, the correct answer is option (B)- Hexokinase.
Note: The enzyme hexokinase is used in smaller animals, but in higher animals in certain cells glucokinase enzyme is used. But this enzyme is not used in liver cells.
Complete step by step solution:
Glucose is a compound in which there are 6 carbon atoms and the terminal carbon atom has an aldehyde functional group and the rest all carbon atoms have an alcohol group and there is an oxygen atom present between the rings. The structure is given below:
In glucose-6-phosphate, the 6th carbon atom has an alcohol group and the hydrogen of this group is replaced with a phosphate group. The structure is given below:
Glucose is present in our body and this is converted into glucose-6-phosphate by two major metabolic pathways: glycolysis and the pentose phosphate pathway.
So by the glycolysis process, in the cell, the hydroxyl group at the 6th position of the glucose is converted into phosphate group by phosphorylation. This reaction can only occur in the presence of a catalyst, so this reaction is catalyzed by the enzyme Hexokinase. In each conversion, one ATP is used. The conversion is given below:
The difference between glucose and glucose-6-phosphate is that glucose can pass through the cell membrane but glucose-6-phosphate cannot pass through the cell membrane.
Therefore, the correct answer is option (B)- Hexokinase.
Note: The enzyme hexokinase is used in smaller animals, but in higher animals in certain cells glucokinase enzyme is used. But this enzyme is not used in liver cells.
Recently Updated Pages
Master Class 12 Business Studies: Engaging Questions & Answers for Success

Master Class 12 Economics: Engaging Questions & Answers for Success

Master Class 12 English: Engaging Questions & Answers for Success

Master Class 12 Maths: Engaging Questions & Answers for Success

Master Class 12 Social Science: Engaging Questions & Answers for Success

Master Class 12 Chemistry: Engaging Questions & Answers for Success

Trending doubts
What are the major means of transport Explain each class 12 social science CBSE

Which are the Top 10 Largest Countries of the World?

Draw a labelled sketch of the human eye class 12 physics CBSE

Explain sex determination in humans with line diag class 12 biology CBSE

The pH of the pancreatic juice is A 64 B 86 C 120 D class 12 biology CBSE

Explain sex determination in humans with the help of class 12 biology CBSE

