
How to prepare ethanal from ethyne by shortest method?
Answer
551.4k+ views
Hint: We should know about reactants and products. The given reactant is an alkyne and the product is an aldehyde. We have to determine the reagent. The compounds that react with the main reactant are known as a reagent. We have to break the triple bond of alkyne and attach an oxygen atom to get the aldehyde. We can use strong acid or metal salt to break the triple bond and water.
Complete step by step answer:
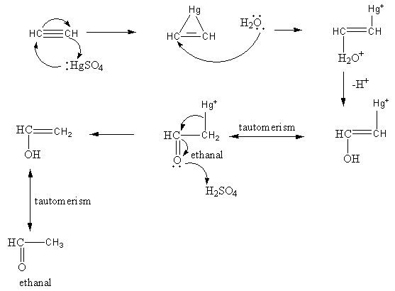
The ethyne is an alkyne and ethanal is an aldehyde. The ethanal can be prepared by the ethyne by treating the ethyne with mercuric sulphate in presence of acid.
The reaction equation is as follows:
\[{\text{HC}} \equiv {\text{CH}}\,\mathop {\mathop \to \limits^{{\text{HgS}}{{\text{O}}_{\text{4}}}} }\limits_{{{\text{H}}_2}{\text{S}}{{\text{O}}_{\text{4}}}} \,\,{\text{C}}{{\text{H}}_{\text{3}}}{\text{CHO}}\]
First the mercury attacks on the reactant ethyne and forms a cyclic structure. Then water attacks on this cyclic structure forming a mercury cation. Then by the removal of hydride alcohol forms.
The enol can be converted into keto form by keto-enol tautomerism. The oxygen atom of the ketone attacks on the acid and gets protonated and the diacation of mercury removes. The enol form again converts into keto form by keto-enol tautomerism.
The mechanism of the reaction of ethyne with mercuric ion and acid is as follows:
So, ethanal can be prepared from ethyne by mercuration demercuration.
Therefore, the shortest method to prepare ethanal from ethyne is mercuration demercuration.
Note: In this reaction, mercury attaches with the reactant in between the reaction mechanism and then removes so, the reaction is known as oxymercuration demercuration. In the case of a symmetrical alkyne, water in the second step can attack from any side, so the ring can open from any side. But in the case of an asymmetrical alkyne, the water attacks from the more nucleophilic side.
Complete step by step answer:
The ethyne is an alkyne and ethanal is an aldehyde. The ethanal can be prepared by the ethyne by treating the ethyne with mercuric sulphate in presence of acid.
The reaction equation is as follows:
\[{\text{HC}} \equiv {\text{CH}}\,\mathop {\mathop \to \limits^{{\text{HgS}}{{\text{O}}_{\text{4}}}} }\limits_{{{\text{H}}_2}{\text{S}}{{\text{O}}_{\text{4}}}} \,\,{\text{C}}{{\text{H}}_{\text{3}}}{\text{CHO}}\]
First the mercury attacks on the reactant ethyne and forms a cyclic structure. Then water attacks on this cyclic structure forming a mercury cation. Then by the removal of hydride alcohol forms.
The enol can be converted into keto form by keto-enol tautomerism. The oxygen atom of the ketone attacks on the acid and gets protonated and the diacation of mercury removes. The enol form again converts into keto form by keto-enol tautomerism.
The mechanism of the reaction of ethyne with mercuric ion and acid is as follows:
So, ethanal can be prepared from ethyne by mercuration demercuration.
Therefore, the shortest method to prepare ethanal from ethyne is mercuration demercuration.
Note: In this reaction, mercury attaches with the reactant in between the reaction mechanism and then removes so, the reaction is known as oxymercuration demercuration. In the case of a symmetrical alkyne, water in the second step can attack from any side, so the ring can open from any side. But in the case of an asymmetrical alkyne, the water attacks from the more nucleophilic side.
Recently Updated Pages
The number of solutions in x in 02pi for which sqrt class 12 maths CBSE

Write any two methods of preparation of phenol Give class 12 chemistry CBSE

Differentiate between action potential and resting class 12 biology CBSE

Two plane mirrors arranged at right angles to each class 12 physics CBSE

Which of the following molecules is are chiral A I class 12 chemistry CBSE

Name different types of neurons and give one function class 12 biology CBSE

Trending doubts
Which are the Top 10 Largest Countries of the World?

What are the major means of transport Explain each class 12 social science CBSE

Draw a labelled sketch of the human eye class 12 physics CBSE

Differentiate between insitu conservation and exsitu class 12 biology CBSE

The computer jargonwwww stands for Aworld wide web class 12 physics CBSE

State the principle of an ac generator and explain class 12 physics CBSE

