Courses
Courses for Kids
Free study material
Offline Centres
More
Store Icon
Store
seo-qna
SearchIcon
banner

What is Bakelite and melamine?

Answer
VerifiedVerified
507.9k+ views
Hint: Polymers are macromolecules which consist of a large number of repeating units (called monomers). Thermosetting polymers are those which undergo extensive cross linking in moulds and become hard which cannot be reused. However, thermoplastic polymers are those which can be repeatedly softened on heating and hardened on cooling .

Complete answer:
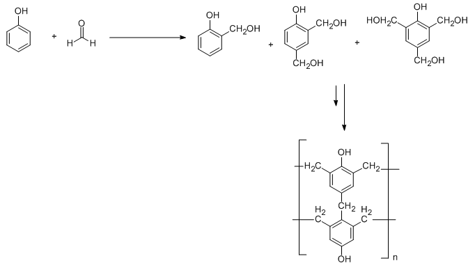
Bakelite is a condensation polymer in which the repeating unit is formed by the reaction of formaldehyde with phenol. Electrophilic substitution reaction takes place between phenol and formaldehyde and leads to the formation of 2-hydroxymethyl phenol, 2,4-dihydroxy methyl phenol and 2,4,6-trihydroxy methyl phenol. These synthesized products undergo crosslinking to form Bakelite. This is illustrated in the following diagram.
seo images

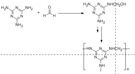
On the other hand, melamine resin polymer is a condensation polymer in which the repeating unit is formed by the reaction of melamine with formaldehyde. This is illustrated in the following diagram:
seo images

From the above two diagrams, we conclude that Bakelite is a heavily branched structure and thus cross-linked polymer in comparison to melamine. Because of this cross linking, Bakelite is a thermosetting polymer while melamine resin is a thermostatic polymer.

Additional information: The uses of Bakelite includes the making of combs and handles of kitchen utensils. However, melamine is used in the making of crockery.

Note:
It is important to note that the monomeric units in Bakelite are phenol and formaldehyde whereas melamine resin has melamine and formaldehyde as monomeric units. Bakelite is a heavily branched structure in comparison to melamine resin. Due to this heavy branching which is also called cross linkages is responsible to make Bakelite a thermosetting polymer.