
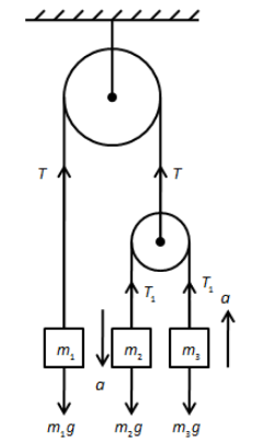
In the arrangement shown in figure, pulleys are mass less and frictionless and threads are inextensible. Block of mass \[{m_1}\] will remain at rest:
A. \[\dfrac{1}{{{m_1}}} = \dfrac{1}{{{m_2}}} + \dfrac{1}{{{m_3}}}\]
B. \[\dfrac{4}{{{m_1}}} = \dfrac{1}{{{m_2}}} + \dfrac{1}{{{m_3}}}\]
C. \[{m_1} = {m_2} + {m_3}\]
D. \[\dfrac{1}{{{m_1}}} = \dfrac{2}{{{m_2}}} + \dfrac{3}{{{m_3}}}\]
Answer
559.2k+ views
Hint: For the block of mass \[{m_1}\] to be at rest, the acceleration of this block must be zero. Assume that one of the two blocks connected to pulley B move downwards and apply Newton’s second law for both the blocks. Solve the equations simultaneously to get the required expression.
Formula used:
Newton’s second law, \[{F_{net}} = ma\],
where, m is the mass and a is the acceleration.
Complete Step by Step Answer:
For the block of mass \[{m_1}\] to be at rest, the acceleration of this block must be zero. Let the tension in the thread connected to \[{m_1}\] is T and also the tension in the thread connected to \[{m_2}\] and \[{m_3}\] is \[{T_1}\]. We assume the block \[{m_2}\] and \[{m_3}\] do not stay at rest and the block \[{m_2}\] move downward with acceleration $a$.
Thus, the block \[{m_3}\] will move upward with the same acceleration. Let us draw the free body diagram of the forces acting on the blocks as follows,
From the above figure, we can write,
\[T = {m_1}g\] …… (1)
Also, \[2{T_1} = T\]
\[ \Rightarrow {T_1} = \dfrac{T}{2}\] …… (2)
Applying Newton’s second law of motion on \[{m_2}\], we can write,
\[{T_1} - {m_2}g = - {m_2}a\]
\[ \Rightarrow {m_2}g - {T_1} = {m_2}a\] …… (3)
Applying Newton’s second law of motion on \[{m_3}\], we can write,
\[{T_1} - {m_3}g = {m_3}a\] …… (4)
Adding equation (3) and (4), we get,
\[{m_2}g - {m_3}g = \left( {{m_2} + {m_3}} \right)a\]
\[ \Rightarrow a = \left( {\dfrac{{{m_2} - {m_3}}}{{{m_2} + {m_3}}}} \right)g\]
Substituting the value of a in equation (4), we get,
\[{T_1} - {m_3}g = {m_3}\left( {\dfrac{{{m_2} - {m_3}}}{{{m_2} + {m_3}}}} \right)g\]
\[ \Rightarrow {T_1} = {m_3}\left( {\dfrac{{{m_2} - {m_3}}}{{{m_2} + {m_3}}}} \right)g + {m_3}g\]
\[ \Rightarrow {T_1} = {m_3}g\left( {\dfrac{{{m_2} - {m_3}}}{{{m_2} + {m_3}}} + 1} \right)\]
\[ \Rightarrow {T_1} = {m_3}g\left( {\dfrac{{{m_2} - {m_3} + {m_2} + {m_3}}}{{{m_2} + {m_3}}}} \right)\]
\[ \Rightarrow {T_1} = {m_3}g\left( {\dfrac{{2{m_2}}}{{{m_2} + {m_3}}}} \right)\]
\[ \Rightarrow {T_1} = \left( {\dfrac{{2{m_2}{m_3}}}{{{m_2} + {m_3}}}} \right)g\]
Substituting \[{T_1} = \dfrac{T}{2}\] from equation (2) in the above equation, we get,
\[\dfrac{T}{2} = \left( {\dfrac{{2{m_2}{m_3}}}{{{m_2} + {m_3}}}} \right)g\]
\[ \Rightarrow T = \left( {\dfrac{{4{m_2}{m_3}}}{{{m_2} + {m_3}}}} \right)g\]
Substituting \[T = {m_1}g\] from equation (1) in the above equation, we get,
\[{m_1}g = \left( {\dfrac{{4{m_2}{m_3}}}{{{m_2} + {m_3}}}} \right)g\]
\[ \Rightarrow {m_1} = \left( {\dfrac{{4{m_2}{m_3}}}{{{m_2} + {m_3}}}} \right)\]
\[ \Rightarrow {m_2} + {m_3} = \dfrac{4}{{{m_1}}}{m_2}{m_3}\]
\[ \Rightarrow \dfrac{{{m_2}}}{{{m_2}{m_3}}} + \dfrac{{{m_3}}}{{{m_2}{m_3}}} = \dfrac{4}{{{m_1}}}\]
\[ \Rightarrow \dfrac{1}{{{m_3}}} + \dfrac{1}{{{m_2}}} = \dfrac{4}{{{m_1}}}\]
\[ \therefore \dfrac{4}{{{m_1}}} = \dfrac{1}{{{m_2}}} + \dfrac{1}{{{m_3}}}\]
So, the correct answer is option B.
Note:The direction of tension should always be towards the rigid support and the direction of weight should be towards the ground irrespective of the inclination. For the first block to do not move, both pulleys A and B also should not move. If the direction of the acceleration is downwards, the force also has the direction of acceleration according to Newton’s second law of motion.
Formula used:
Newton’s second law, \[{F_{net}} = ma\],
where, m is the mass and a is the acceleration.
Complete Step by Step Answer:
For the block of mass \[{m_1}\] to be at rest, the acceleration of this block must be zero. Let the tension in the thread connected to \[{m_1}\] is T and also the tension in the thread connected to \[{m_2}\] and \[{m_3}\] is \[{T_1}\]. We assume the block \[{m_2}\] and \[{m_3}\] do not stay at rest and the block \[{m_2}\] move downward with acceleration $a$.
Thus, the block \[{m_3}\] will move upward with the same acceleration. Let us draw the free body diagram of the forces acting on the blocks as follows,
From the above figure, we can write,
\[T = {m_1}g\] …… (1)
Also, \[2{T_1} = T\]
\[ \Rightarrow {T_1} = \dfrac{T}{2}\] …… (2)
Applying Newton’s second law of motion on \[{m_2}\], we can write,
\[{T_1} - {m_2}g = - {m_2}a\]
\[ \Rightarrow {m_2}g - {T_1} = {m_2}a\] …… (3)
Applying Newton’s second law of motion on \[{m_3}\], we can write,
\[{T_1} - {m_3}g = {m_3}a\] …… (4)
Adding equation (3) and (4), we get,
\[{m_2}g - {m_3}g = \left( {{m_2} + {m_3}} \right)a\]
\[ \Rightarrow a = \left( {\dfrac{{{m_2} - {m_3}}}{{{m_2} + {m_3}}}} \right)g\]
Substituting the value of a in equation (4), we get,
\[{T_1} - {m_3}g = {m_3}\left( {\dfrac{{{m_2} - {m_3}}}{{{m_2} + {m_3}}}} \right)g\]
\[ \Rightarrow {T_1} = {m_3}\left( {\dfrac{{{m_2} - {m_3}}}{{{m_2} + {m_3}}}} \right)g + {m_3}g\]
\[ \Rightarrow {T_1} = {m_3}g\left( {\dfrac{{{m_2} - {m_3}}}{{{m_2} + {m_3}}} + 1} \right)\]
\[ \Rightarrow {T_1} = {m_3}g\left( {\dfrac{{{m_2} - {m_3} + {m_2} + {m_3}}}{{{m_2} + {m_3}}}} \right)\]
\[ \Rightarrow {T_1} = {m_3}g\left( {\dfrac{{2{m_2}}}{{{m_2} + {m_3}}}} \right)\]
\[ \Rightarrow {T_1} = \left( {\dfrac{{2{m_2}{m_3}}}{{{m_2} + {m_3}}}} \right)g\]
Substituting \[{T_1} = \dfrac{T}{2}\] from equation (2) in the above equation, we get,
\[\dfrac{T}{2} = \left( {\dfrac{{2{m_2}{m_3}}}{{{m_2} + {m_3}}}} \right)g\]
\[ \Rightarrow T = \left( {\dfrac{{4{m_2}{m_3}}}{{{m_2} + {m_3}}}} \right)g\]
Substituting \[T = {m_1}g\] from equation (1) in the above equation, we get,
\[{m_1}g = \left( {\dfrac{{4{m_2}{m_3}}}{{{m_2} + {m_3}}}} \right)g\]
\[ \Rightarrow {m_1} = \left( {\dfrac{{4{m_2}{m_3}}}{{{m_2} + {m_3}}}} \right)\]
\[ \Rightarrow {m_2} + {m_3} = \dfrac{4}{{{m_1}}}{m_2}{m_3}\]
\[ \Rightarrow \dfrac{{{m_2}}}{{{m_2}{m_3}}} + \dfrac{{{m_3}}}{{{m_2}{m_3}}} = \dfrac{4}{{{m_1}}}\]
\[ \Rightarrow \dfrac{1}{{{m_3}}} + \dfrac{1}{{{m_2}}} = \dfrac{4}{{{m_1}}}\]
\[ \therefore \dfrac{4}{{{m_1}}} = \dfrac{1}{{{m_2}}} + \dfrac{1}{{{m_3}}}\]
So, the correct answer is option B.
Note:The direction of tension should always be towards the rigid support and the direction of weight should be towards the ground irrespective of the inclination. For the first block to do not move, both pulleys A and B also should not move. If the direction of the acceleration is downwards, the force also has the direction of acceleration according to Newton’s second law of motion.
Recently Updated Pages
Master Class 11 Computer Science: Engaging Questions & Answers for Success

Master Class 11 Business Studies: Engaging Questions & Answers for Success

Master Class 11 Economics: Engaging Questions & Answers for Success

Master Class 11 English: Engaging Questions & Answers for Success

Master Class 11 Maths: Engaging Questions & Answers for Success

Master Class 11 Biology: Engaging Questions & Answers for Success

Trending doubts
One Metric ton is equal to kg A 10000 B 1000 C 100 class 11 physics CBSE

There are 720 permutations of the digits 1 2 3 4 5 class 11 maths CBSE

Discuss the various forms of bacteria class 11 biology CBSE

Draw a diagram of a plant cell and label at least eight class 11 biology CBSE

State the laws of reflection of light

Explain zero factorial class 11 maths CBSE

